Average Ratings 0 Ratings

Total
ease
features
design
support

No User Reviews. Be the first to provide a review:

Write a Review

Average Ratings 0 Ratings

Total
ease
features
design
support

No User Reviews. Be the first to provide a review:

Write a Review

Description

The GLM-5V-Turbo is an advanced multimodal coding foundation model specifically tailored for tasks that require visual inputs, capable of handling various formats such as images, videos, texts, and files to generate text-based outputs. This model is particularly refined for agent workflows, which allows it to effectively understand environments, plan appropriate actions, and carry out tasks, while also ensuring compatibility with agent frameworks like Claude Code and OpenClaw. Its ability to manage long-context interactions is noteworthy, boasting a context capacity of 200K tokens and an output limit of up to 128K tokens, making it ideal for intricate, long-term projects. Furthermore, it provides a variety of thinking modes suited for diverse scenarios, exhibits robust visual comprehension for both images and videos, and streams output in real-time to enhance user engagement. Additionally, it features sophisticated function-calling abilities that facilitate the integration of external tools, and its context caching capability significantly boosts performance during prolonged conversations. In practical applications, the model can adeptly transform design mockups into fully functional frontend projects, showcasing its versatility and depth in real-world coding scenarios. This versatility ensures that users can tackle a wide range of complex tasks with confidence and efficiency.

Description

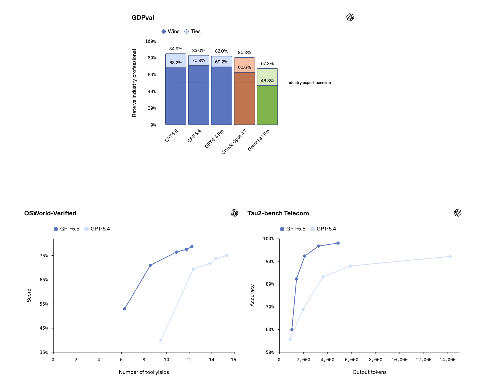
GPT-5.5 Thinking is a next-generation AI capability from OpenAI that focuses on solving complex tasks with greater autonomy and efficiency. It allows users to input broad or multi-step instructions while the model independently plans, executes, and verifies the work. The system is particularly strong in coding, research, data analysis, and professional knowledge tasks. It can interact with tools, navigate workflows, and refine outputs without requiring constant user guidance. GPT-5.5 Thinking is designed to deliver faster results while maintaining high accuracy and reducing token usage. Its ability to handle long context windows enables it to work with large documents, datasets, and extended problem-solving scenarios. The model is also equipped with advanced safeguards to minimize misuse and ensure secure operation. It integrates seamlessly into platforms like ChatGPT and Codex, enhancing productivity across industries. Users benefit from more concise, structured, and reliable outputs. Overall, it transforms AI into a more capable partner for complex and real-world work.

API Access

Has API

API Access

Has API

Screenshots View All

Screenshots View All

Integrations

ChatGPT
ChatGPT Agent
ChatGPT Enterprise
ChatGPT Health
ChatGPT Images
ChatGPT Plus
ChatGPT Pro
Claude Code
GPT-5.5
Java
Ollama
OpenClaw
Python

Integrations

ChatGPT
ChatGPT Agent
ChatGPT Enterprise
ChatGPT Health
ChatGPT Images
ChatGPT Plus
ChatGPT Pro
Claude Code
GPT-5.5
Java
Ollama
OpenClaw
Python

Pricing Details

No price information available.
Free Trial
Free Version

Pricing Details

No price information available.
Free Trial
Free Version

Deployment

Web-Based
On-Premises
iPhone App
iPad App
Android App
Windows
Mac
Linux
Chromebook

Deployment

Web-Based
On-Premises
iPhone App
iPad App
Android App
Windows
Mac
Linux
Chromebook

Customer Support

Business Hours
Live Rep (24/7)
Online Support

Customer Support

Business Hours
Live Rep (24/7)
Online Support

Types of Training

Training Docs
Webinars
Live Training (Online)
In Person

Types of Training

Training Docs
Webinars
Live Training (Online)
In Person

Vendor Details

Company Name

Z.ai

Founded

2023

Country

United States

Website

docs.z.ai/guides/vlm/glm-5v-turbo

Vendor Details

Company Name

OpenAI

Founded

2015

Country

United States

Website

openai.com

Alternatives

Alternatives

Claude Opus 4.7 Reviews

Claude Opus 4.7

Anthropic
GPT-4o mini Reviews

GPT-4o mini

OpenAI
Claude Mythos Reviews

Claude Mythos

Anthropic
Kimi K2.5 Reviews

Kimi K2.5

Moonshot AI
GPT-4o Reviews

GPT-4o

OpenAI